-
Notifications
You must be signed in to change notification settings - Fork 0
Open
Description
存在一个按升序排列的链表,给你这个链表的头节点 head ,请你删除所有重复的元素,使每个元素 只出现一次 。
返回同样按升序排列的结果链表。
示例 1:
输入:head = [1,1,2]
输出:[1,2]
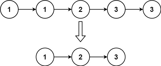
示例 2:
输入:head = [1,1,2,3,3]
输出:[1,2,3]
提示:
- 链表中节点数目在范围
[0, 300]内 -100 <= Node.val <= 100- 题目数据保证链表已经按升序排列
来源:力扣(LeetCode)
链接:https://leetcode-cn.com/problems/remove-duplicates-from-sorted-list
著作权归领扣网络所有。商业转载请联系官方授权,非商业转载请注明出处。
Reactions are currently unavailable

